Девченки как понять эту таблицу… совсем непойму ничего.У меня трех дневки,
Может кто подробнее расскажет как ее использовать(((

Девченки как понять эту таблицу… совсем непойму ничего.У меня трех дневки,
Может кто подробнее расскажет как ее использовать(((
Всем спасибо, поняла?
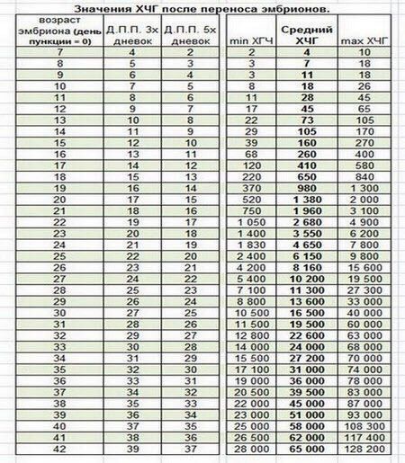
День переноса это 0 следующий 1, посчитайте сколько у вас дней. На первый столбик не смотрим, вам нужен второй и там смотрим цифру 14 день после переноса (14дпп), далее проводим горизонтальную прямую под 14 дпп и смотрим значение хгч от мин к макс значению. На 14 дпп с 3ех дневками это от 120 до 580
Интересная таблица
Хгч ваш от 120 до 580 долден быть по идее
Ну тут все понятно же)смотрите возраст эмбриона 7 дней, следующая строка дней после подсадки эмбриона 4. 4+3=7 и смотрите значение хгч. Но влзраст вам нафиг не нужен. Смотрите столбец дпп 3 дневок. 3 была подсадка, сегодня 17 это 14 дпп, день подсадки 0 день
У вас 16 день, хгч должен быть от 68 до 400
Хочу в таблице разобратся((((
Со дня пункции ск прошло дней? День пункции нулевой
3.08 была подсадка трех дневок